I. Tìm Tập Xác Định Hàm Số Lượng Giác



Trường hợp hàm số tan:
Khi hàm số có dạng:

Điều kiện xác định của tan:

Khi nào cos bằng 0?

Hiểu đơn giản:






Điều kiện xác định

✅ Mẹo nhớ nhanh





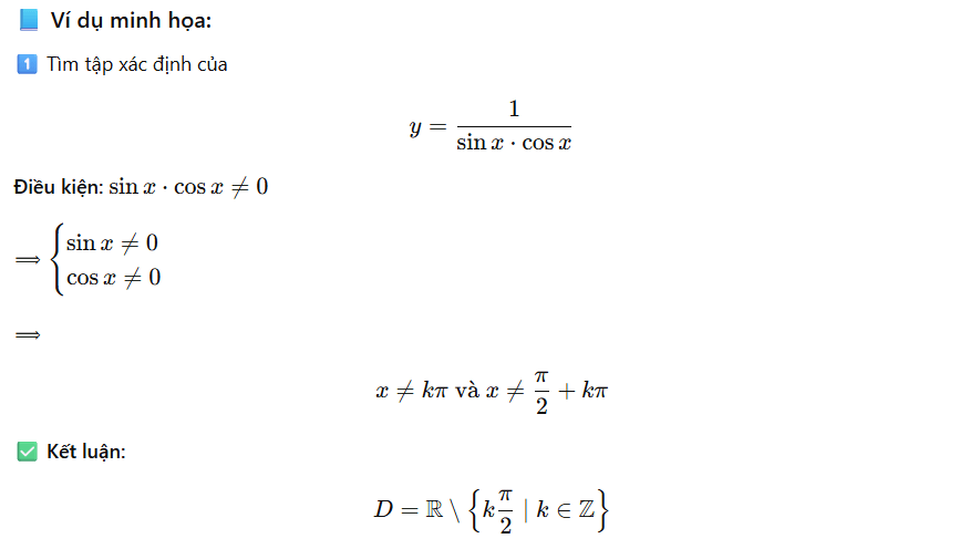
Một số trường hợp tìm tập xác định thường gặp





Lưu ý quan trọng khi tìm tập xác định





👉 Tóm lại

Các giá trị đặc biệt của sin, cos, tan, cot






VÍ DỤ 1:


Lời giải:

Xét điều kiện cho từng phần (vì hàm là tổng của hai phần)


Gộp tất cả điều kiện


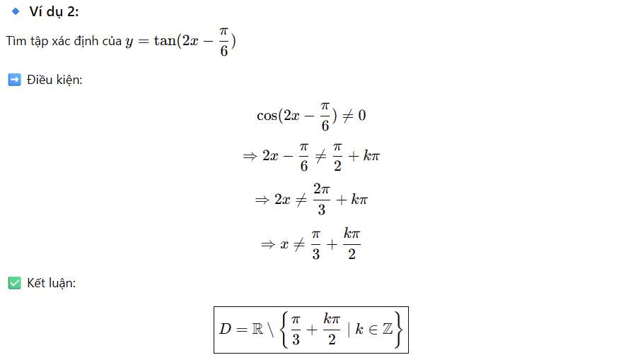
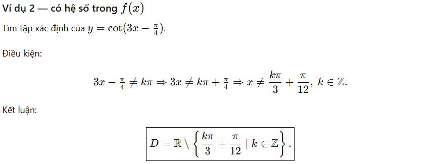
VÍ DỤ 2:




BÀI TẬP VẬN DỤNG – BÀI 1: TÌM TẬP XÁC ĐỊNH CỦA HÀM SỐ LƯỢNG GIÁC
BÀI TẬP TỰ LUYỆN – BÀI 1: TÌM TẬP XÁC ĐỊNH CỦA HÀM SỐ LƯỢNG GIÁC


Bình luận về bài viết này